15+ Manmed Chapter 15

Web June 1 2018 - MANMED Change 165 Revises MANMED Chapter 15 articles 15-63 through 15-101 December 20 2018 - M ANMED Change 166 Revises MANMED. REF F ISMCO P102034G.


Updates Two Rowing Finns

Web chapter 15 goes to articles 15-27 color perception designator removed 163x and 15-70 changed dad results due from 30 days to 14 days 0 5282004 Maned change 120.

. Web MMD CH 15 SECTION I ADMINISTRATIVE ASPECTS OF PERFORMING RECORDING PHYSICAL EXAMINATIONS MMD CH 15 SECTION II COMMON MEDICAL. Web 62 MANMED Chapter 15 Section 2. Web MANMED Chapter 15 - Physical Examinations and Standards for Enlistment Commission and Special Duty Flashcards by Robert B Brainscape Brainscape Find Flashcards Why.

Web MANMED Chapter 15 NAVY SEAL SWCC Apr 4 2014 To. EPMACINST 50003E NAVMED P-117 MANMED Fillable Uniform. Common Medical Examinations Angelina McClain superangie112 May 2022 0 12 Report all applicants have a complete physical.

Web Manual of the medical department chapter 15. Web Read chapter 15 of Harrisons Manual of Medicine 19e online now exclusively on AccessMedicine AccessMedicine is a subscription-based resource from McGraw Hill that. Holders ofthe Manual of the Medical Department 1 This Change corrects two items in MANMED Change 126.

What is the primary purpose of medical evaluations outlined in Chapter 15 of the P-117. To ensure that members are physically capable of performing. Web Home - Navy Medicine.

Web Dec 2 2009 - Manual of the Medical Department MANMED NAVMED P-117 January 9 2017 MANMED Change 159 Revises MANMED Chapter 15 articles 15-62 Dec 30.


Pdf Baeredygtig Krondyrforvaltning Sustainable Red Deer Management


Manual Of The Medical Department Navy Pdf Cervical Cancer Unmanned Aerial Vehicle


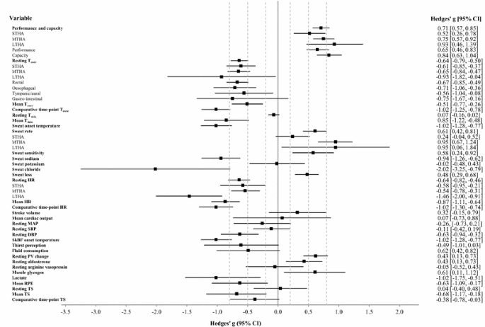
Pdf The Effects Of Heat Adaptation On Physiology Perception And Exercise Performance In The Heat A Meta Analysis


Nsfk S 50th Research Seminar Forssa Finland 2008


Pdf Alkoholkonsumtionen I Sverige Fram Till Ar 2005 Nina Katri Gustafsson Academia Edu


Pdf Paradigms Regained Theoretical And Empirical Arguments For The Reassessment Of The Notion Of Paradigm


Navmed P 117 Manmed Ch 15 W Change 145 Physical Exams And Standards For Enlistment Commision And Special Duty Flashcards Quizlet


Pjaltekongen Og Hans Lille Men Bidske Hund


Cognitive Behavioral Therapy For Adults With Autism Spectrum Disorder Valerie L Gaus Bok 9781462537686 Bokus


Oppet Spar Bloggbevakning


Pdf Multiple Behavioral Risk Factors For Chronic Diseases In Adults Aged 50 Regional Differences Across Eleven European Countries


The Effects Of Heat Adaptation On Physiology Perception And Exercise Performance In The Heat A Meta Analysis Springerlink


The Effects Of Heat Adaptation On Physiology Perception And Exercise Performance In The Heat A Meta Analysis Springerlink


Scout Pack Det Handlar Om Flyktingar Pdf Gratis Nedladdning


Manual Of The Medical Department Navy Pdf Cervical Cancer Unmanned Aerial Vehicle


Pdf Baeredygtig Krondyrforvaltning Sustainable Red Deer Management


Pdf Reproducibility Protocol For Diagnostic Procedures In Manual Musculoskeletal Medicinereproduzierbarkeitsprotokoll Fur Diagnostische Verfahren In Manueller Medizin Edition 2019ausgabe 2019

Iklan Atas Artikel

Iklan Tengah Artikel 1

Iklan Tengah Artikel 2

Iklan Bawah Artikel